-

每周股票复盘:大智慧(601519)股东户数减少,一季报归母净利润上升103.46%
截至2025年4月25日收盘,大智慧(601519)报收于8.66元,较上周的8.68元下跌0.23...
Binance交易所 2025-05-08 24
-

每周股票复盘:大智慧(601519)2024年年报归母净利润-2.01亿元
截至2025年4月11日收盘,大智慧(601519)报收于8.76元,较上周的9.45元下跌7.3%...
Binance交易所 2025-05-08 87
-

川股年报丨四川九洲:去年实现净利润1.94亿元 同比下降2.97%
金融投资网讯(记者 刘敏)3月28日晚间,四川九洲发布2024年年报,公司实现营业收入41.78亿元...
Binance官网 2025-04-30 15
-

丰华股份年报:净利润同比翻倍 拟每10股转增2股
截至4月3日收盘,丰华股份(600615)股价报12.23元,成交量为19862手,成交额约0.24...
Binance交易所 2025-04-23 20
-

丰华股份2024年财报:净利润翻倍,但新业务风险隐现
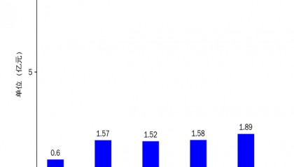
3月28日,丰华股份(600615)发布2024年年报,公司实现营业收入1.89亿元,同比增长19....
Binance官网 2025-04-23 20
-

丰华股份(600615.SH):2024年年报净利润为875.70万元
2025年3月29日,丰华股份(600615.SH)发布2024年年报。 公司营业总收入为1.89亿...
Binance交易所 2025-04-23 22
-

图解丰华股份年报:第四季度单季净利润同比减4.40%
证券之星消息,丰华股份2024年年报显示,公司主营收入1.89亿元,同比上升19.54%;归母净利润...
Binance官网 2025-04-23 31
-

丰华股份2024年净利润增106.7%至876万元
财中社3月28日电丰华股份(600615)公布2024年年报,公司营业收入为1.89亿元,同比上升1...
Binance交易所 2025-04-23 17
-

丰华股份预计2024年归母净利润911万元
财中社2月18日电丰华股份(600615)发布公告,公司预计2024年度营业收入为1.89亿元,同比...
Binance官网 2025-04-23 22




